Kombinatorische Algorithmen

Blatt 8 SS00

Prof. Laue

Abgabe 28.06.2000
 
 
 
 
 

Aufgabe 10 (3) Stirlingzahlen
 

Beweisen Sie folgende Aussage über die vorzeichenlosen Stirling Zahlen c(n,k) der ersten Art: c(n,k) ist die Anzahl der Permutationen vom Grad n mit genau k left to right maxima. Ein left to right maximum an der Stelle i der Permutation liegt vor, wenn das Bild des Punktes i größer ist als alle Bilder der Punkte < i.
 

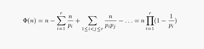
Aufgabe 11 (5) Euler Phi

Sei n = p1a1 p2a2..... praeine positve ganze Zahl in eindeutiger Primzahlproduktdarstellung. Mit (n) wird die Anzahl der k mit 1<=k<= n bezeichnet mit ggt(n,k) = 1.  (n)  wird als Euler'sche Phi-Funktion bezeichnet. Beweisen Sie mittels Inklusion - Exklusion Prinzip: